Reaction Mechanism¶
Drawing electron flow arrows starting from lone pairs is only possible when the lone pair visibility is turned on in View settings.
For describing the movement of electrons in the elementary reaction steps of a complex mechanism in Marvin JS, you can choose from the following types of electron flow arrows:
- Single
- Double
The former arrow type is for visualizing single electron movement, while the latter is for displaying the movement of electron pairs.
As a chemically intelligent editor, Marvin JS does not allow drawing more than one single electron flow arrow per electron, as well as no more than one double electron flow arrow per lone pair.
Drawing an Electron Flow Arrow¶
Single electron flow arrows can start from:
- A radical electron
- A lone pair
- A bond
Double arrows can start from:
- A lone pair
- A bond
An arrow can end:
- On an atom
- On a bond
- On an incipient bond between two atoms that do not have a common existing bond
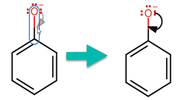
Draw an Electron Flow Arrow from an Atom to an Atom¶
- Select the preferred type of electron flow arrow.
- Drag the electron flow arrow from the electrons to the target atom or bond. A feedback of the arrow appears.
The default setting is the incipient bond, but after creation, you can change it anytime.
Magnifying the Radical or Lone Pair¶
If the radical is too small to click on, after selecting the electron flow arrow tool, you can click on its atom to magnify them. When you drag from the radical or lone pair, the zoom level changes back to the original state.
Drawing an Electron Flow Arrow from an Atom to a Bond¶
The source atom must have at least one explicitly displayed radical or lone pair from which the arrow can be dragged.
The endpoint of the arrow will be the midpoint of the target bond. In this case, the incipient bond type is unavailable.
A bond can be the target of an electron flow arrow only if it is adjacent to the source atom.
Drawing an Electron Flow Arrow from Bond to Bond¶
While holding the left mouse button, drag the arrow from the source bond to the target bond.
Drawing an electron flow arrow from one bond to another is only possible if these two bonds have an atom in common.
Indicate a Bond Formation¶
- Using the electron flow arrow tool, while holding the left mouse button, drag the arrow from the original bond to the atom which will belong to the newly formed bond.
- The incipient bond will appear from one atom of the bond to the atom. (You can change which atom is connected with the incipient bond by clicking on the arrow repeatedly.)
- To add the other electron flow arrow, draw a single electron flow arrow from this radical to the atom on the other end of the incipient bond.
Editing Electron Flow Arrows¶
To change the target of the arrow, simply click the arrow. The arrow changes from incipient to a normal arrow.
To change the origin of the electron, click on the arrow. When you want to draw a single electron flow arrow pointing to an atom instead, click on it again.
For the third click, the arrowhead jumps back to its original position.
To resize an electron flow arrow, choose one of the electron flow arrow tools or the selection tools, then drag the electron flow arrow to change the arc of the curve. The new arrow will be shown in black, and the old one will turn gray.
To change the position of a curved arrow, choose one of the electron flow arrow tools or the selection tools, then drag the electron flow arrow to the desired position. The new arrow will be shown in black, and the old one will turn gray.
Selecting an Electron Flow Arrow¶
Electron flow arrows can be selected either by clicking them while the Rectangle or the Freehand selection tool is active or by dragging over them with one of the selection tools.
In the latter case, you can only select the electron flow arrow without its source and target atom or bond if you use the Freehand selection tool; while using Rectangle selection, the arrow can only be selected with its source and target.
Deleting Electron Flow Arrows¶
Deleting electron flow arrows can be accomplished in the same way as with other objects: using either the Delete toolbar button or the Delete key.
An electron flow arrow is automatically deleted if its source or target atom is deleted or changed, as well as when one of the atoms belonging to its source or target bond is deleted or changed (incipient bonds included as well).








