Wedge Error¶
Discontinued. Wedge Error Checker has been split into three separate checkers: Incorrect Tetrahedral Stereo, Non-standard Wedge Scheme, and Non-stereo Wedge Bond.
- Checker searches for irregular wedge bonds.
- Fixer arranges stereo wedge bonds according to IUPAC recommendations. (
wedgeclean).
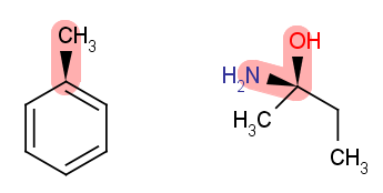
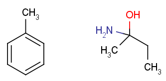
Example :
Wedge Error Checker (wedgeerror) |
Warning: | Fix |
|---|---|---|
Clean Wedge (wedgeclean) |
||
| Detect irregular wedge bond | ex_wedge_ch |
ex_wedge_f |
| Ambigous wedge configuration | ![]() |
![]() |
Note: Some symmetric structures are not recognized by the checker.



