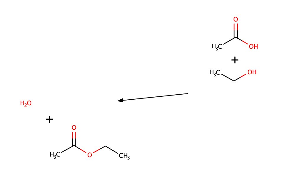
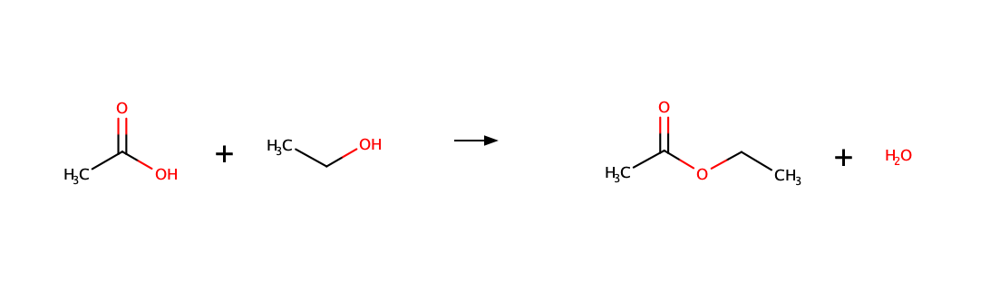
Rearrange Reaction¶
Rearrange reaction action executes a horizontal single step reaction alignment in 2D where reactant(s) will be on the left and product(s) on the right. This action is a full reaction alignment without changing the components’ internal 2D coordinates.
Example :
| Action | Input | Output |
|---|---|---|
Rearrange reaction (rearrangereaction) |
![]() |
![]() |
Note :
- If the input is in 3D, output will be in 2D.
- 2D clean of the structures has to be done separately (clean2D)
- All chemical file formats are supported.

