R-groups in MarvinSketch¶
An R-group can describe a set of derivatives in one single structure (substitution variation).
Create an R-group¶
To create an R-group, follow the steps below.
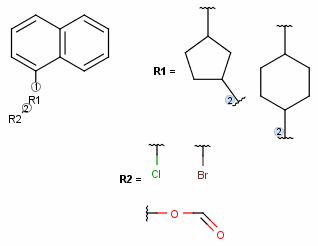
- Draw the root structure and place some R atoms. This can be done by using the Periodic Table dialog or the context menu or by typing the label, for example, R1.
- Draw the variable R-group ligands and select those substituting the R1 atom.
To add attachment points for the R-definitions, use Atom > R-group Attachment or R-group Attachment from the context menu. Alternatively, when you draw the R-definitions and the mouse cursor still shows R1, clicking on an atom of the definition will toggle the attachment point on that atom. Divalent R-groups must have two attachment points defined.
To change the order of the attachment points, select an attachment point, and set the new number by using the R-group Attachment Order option from the context menu or the Atom > R-group Attachment Order menu item.
You can define additional conditions, for example, occurrence, rest H, and if-then expressions to R-groups in the R-logic dialog window.
To do this, follow the steps below.
- Navigate to Structure > R-logic.
- After setting the conditions in the R-logic dialog, press OK to apply the changes.
R-logic can be visualized by switching on the View > Advanced > R-logic menu option.
R-groups can be formatted as other atom labels. For more information, see Atom Label Editor.
R-logic does not apply to R0.
Draw R-groups¶
Draw the Root Structure¶
- Hover the cursor over the atoms where you would like to add the R-labels.
- When the atom is highlighted with green, enter the R-labels. Alternatively, R-label can be defined by using the R-group item of the context menu.
- Draw an alternative ligand with an R-group connection. To do this, type the label on the empty canvas.
- Click an atom with the label and drag the mouse while holding the button to position the bond. when the bond stands in the right direction release the button.
Draw New Fragments¶
- Draw the fragments separately from the root structure.
- Create the first R-group. Select the structures to be added and type R1. With R1 on the cursor, left-click the atoms to which you would like to add the attachment points. Alternatively, attachment points can be added through the context menu.
- Repeat Step 2 on the remaining fragments to create the second R-group.
In the case of one attachment point, the connections are not numbered, only marked by a wavy line on the substituent side.
In the case of more than one attachment point, the connections are marked by numbers (ligand order) on the root structure. Connection points on the substituents are marked with a wavy line, and the order is indicated by numbers (except for the first one).
The ligand order on a bond can be changed using Bond > Ligand order.



