Skip to content

Copolymers

If the structure consists of more than one repeating unit (mon, mer) or structural repeating unit, Copolymer (co) brackets/groups can be used to represent the structure.
Copolymers might contain crossing bonds and star atoms.
The following copolymers can be drawn:

  • Random (ran)
  • Alternating(alt)
  • Block (blk) - with or without junction unit
  • Copolymer to represent modified polymers (mod)
  • Copolymer to represent grafted polymers (grf)
  • Copolymer to represent cross-linked polymers (xl)

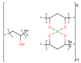
See the figure below for an example.

A copolymer in MarvinSketch

To draw a copolymer, follow the steps below.

  1. Create the components to form the copolymer.
  2. Click the Create Group tool on the toolbar then select the components to be included.
  3. In the Create Group dialog window, choose one of the following types:
    • Copolymer (co)
    • Copolymer, alternating (alt)
    • Copolymer, block (blk)
    • Copolymer, statistical (stat)
  4. Click OK.

To add a new sub-polymer to a copolymer, draw the sub-polymer to add outside of the bracket and drag one part of the bracket to include the new sub-polymer. The new molecule is marked with blue circles when you hover the mouse cursor over it.

To delete a sub-group from a copolymer, select the sub-polymer to be deleted and press the Delete button on your keyboard or delete it with the Erase tool.