Drawing a Reaction Scheme¶
Introducing the reaction scheme¶
The reaction scheme describes the transformation to be performed on the reactant molecules. It is not an exact reaction equation but a general representation of the desired virtual modification of the starting compounds.
Let's consider a simple reduction of amides to aldehydes and amines . The functional group transformation can be written as:
Reactor will search the reaction equation specified substructure in reactant molecules, and combine them according to the specified product structure.
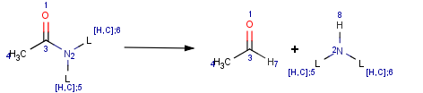
The elements denoted with L are called List atoms. Here the list atom can be either a H or a C as defined in the brackets. Thus the amide can be unsubstituted (two hydrogens connecting the nitrogen), N-substituted (one hydrogen connecting the nitrogen and an additional carbon connection) and N, N-disubstituted (two carbon connections). Accordingly, besides producing ammonia, a primary and a secondary amine can arise as a product, too.
Chemists can easily recognize the changing bonds and the atoms involved in this process, however, Reactor requires a little additional support. To help Reactor to identify atoms in the reactant and product side, the reaction scheme should have an other feature called mapping.
We display a map number at each atom on both sides of the equation:
The corresponding atoms on the two sides of the reaction arrow are identified by the same map number. Note, that the new hydrogen atoms with map 7 and 8 have been added to the product side of the equation. Implicit hydrogens not involved in the reaction (such as the hydrogens on the alpha carbon) do not need to be mapped, the map of the corresponding heavy atom helps to track them. Reactor supports different mapping styles, that are summarized here.
And now we are ready to use this reaction scheme in Reactor!

