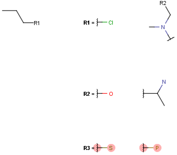
Unused R-group Reference¶
- Checker searches for R-group definitions that are not used.
- Fixer removes unused R-group definitions (
fixunusedrgroups).
Example :
Unused R-group Reference Checker (unusedrgroup) |
Warning: | Fix |
|---|---|---|
Remove unused R-group definitions (fixunusedrgroups) |
||
| Detect unused R-groups | Unused R-groups |
Remove unused R-group definition |

