Skip to content

Non-standard Wedge Scheme

Non-standard Wedge Scheme checker tries to identify valid, but non-preferred wedge bond depictions according to the IUPAC recommendations. .

  • Checker detects wedge configurations not following the IUPAC recommendations
  • Fixer: rearranges the wedge bonds.

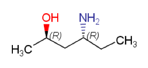
Example :

Non-standard Wedge Scheme Checker (nonstandardwedgescheme) Warning: Fix
Rearrange wedges (rearrangewedges)
Non-standard Wedge Scheme images/s/en_US/8100/6512c1e2a41cdf14570641b46bd2fe3eaeb38d03/_/images/icons/emoticons/check.svg images/download/thumbnails/1806479/image2019-12-20_14-55-57.png images/download/thumbnails/1806479/image2019-12-20_14-57-11.png
Non-standard Wedge Scheme images/s/en_US/8100/6512c1e2a41cdf14570641b46bd2fe3eaeb38d03/_/images/icons/emoticons/error.svg(Incorrect Tetrahedral Stereoimages/s/en_US/8100/6512c1e2a41cdf14570641b46bd2fe3eaeb38d03/_/images/icons/emoticons/check.svg) images/download/thumbnails/1806479/image2019-12-20_12-3-54.png images/s/en_US/8100/6512c1e2a41cdf14570641b46bd2fe3eaeb38d03/_/images/icons/emoticons/error.svg

The Non-standard Wedge Scheme checker is triggered and the "rearrange" fix is applied only when the stereo info can be calculated.