Solvent¶
- Checker searches for fragments in the molecule file defined as solvent molecules if more than one fragment is present. The solvent list is customizable and is stored in a configuration file.
- Fixer offers removing solvent fragment(s) (
removeatom).
Examples :
Solvent Checker (solvent) |
Warning: | Fix |
|---|---|---|
Delete Atom (removeatom) |
||
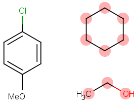
| Find Solvent Molecules | ![]() |
![]() |
| Find Solvent Molecules | ex_solvent_ch |
ex_solvent_f |
In case there are only solvent molecules in the input structure, Solvent Checker detects the solvents but no fixer is offered.
The default solvents in the solvent dictionary are:
water, methanol, ethanol, propan-1-ol propan-2-ol, butan-1-ol, formic acid, acetic acid, pentane, hexane, benzene, methylbenzene, ethoxyethane, trichloromathane, ethyl acetate, dichloromethane, propan-2-one, acetonitrile, N-methylacetamide, methanesulfonylmethane, oxolane, heptane, 2-mezhylpropan-2-ol, butan-2-one, cyclohexane, cycloheptane, 1,2-dichloroethane, 2-(propan-2-yloxy)propane, 1,2-dimethoxyethane, N,N-dimethylacetamide, pyridine, 1,2-dimethylbenzene, 2-methyoxy-2-methylpropane



