Atom Query Property¶
-
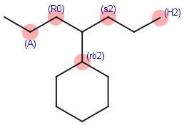
Checker searches for atoms having query properties. Tick options for searching:
- Hydrogen Count (
:H=true);
- Connection Count (
:X=true);
- Ring Bond Count (
:rb=true);
- Ring Count (
:R=true);
- Implicit Hydrogen Count (
:h=true);
- Smallest Ring Size (
:r=true);
- Aromaticity (
:a=true);
- Substitution Count (
:s=true);
- Unsaturation (
:u=true);
- Explicit Connection Count (
:D=true)
- Hydrogen Count (
- Fixer: removes the identified query properties (
removeatomqueryproperty).
Example :
Atom Query Property Checker (atomqueryproperty) |
Warning: | Fix |
|---|---|---|
Removing query property (removeatomqueryproperty) |
||
| Detect Atom Query Property | example atom query property |
fixed atom query property |

