The tautomerization models behind the JChem tautomer search¶
This page describes the tautomerization models used in the JChem tautomer search:
The JChem tautomer search makes the decision if a query and a target molecules are tautomers of each other. It can use two tautomerization models for this: the generic and the normal canonical tautomerization.
To decide the tautomer equivalence, the search algorithm first generates the relevant tautomer forms of the query and the target. Then it makes a graph equivalence check for the generated tautomers. If the two generated tautomer forms are identical , the search considers the query and the target molecules as tautomers.
The following description gives an overview on the generic and normal canonical tautomerization.
Generic tautomers¶
The generic tautomer represents all theoretically possible tautomer forms of the input molecule. It is generated based on the following algorithm:
- All possible H-bond donor and acceptor atoms in the molecule are identified.

- These atom sets are filtered using the Maximal Allowed Length of Tautomerization Paths option (default value is 4) resulting in narrower sets of donor and acceptor atoms taking part in tautomerization.

- Tautomer regions are identified by finding the longest connected paths of donor and acceptor atoms which have alternating single and double bonds.

-
The identified regions are converted into a molecular representation by
- replacing the original bonds within the region with ANY bonds and
Normal canonical tautomers¶
The normal canonical form (compared to the generic) represents a subset of all possible tautomers of the input structure.
The normal canonical forms are generated based on the following algorithm:
- All possible H-bond donor and acceptor atoms in the molecule are identified.
- These atom sets are filtered using the Maximal Allowed Length of Tautomerization Paths option (default value is 4) AND the built-in tautomerization rules coming from the normal canonical tautomerization model (e.g. aromaticity protection). This step results in narrower sets of donor and acceptor atoms taking part in tautomerization.
- All possible tautomer forms are generated using these new donor and acceptor atom sets.
- One final normal canonical form is selected from the generated forms using a scoring function.
The output of this generation process is the normal canonical form of the molecule.
Examples¶
The following examples show how the generic and normal canonical tautomerization behave in the cases of the 5 most common tautomerization types.
Oxo-enol tautomerization¶
| Molecules | Generic tautomers | Normal canonical tautomers |
|---|---|---|
Amine-imine tautomerization¶
| Molecules | Generic tautomers | Normal canonical tautomers |
|---|---|---|
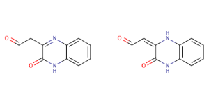
Amide-imide tautomerization¶
| Molecules | Generic tautomers | Normal canonical tautomers |
|---|---|---|
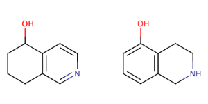
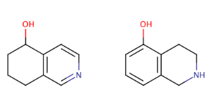
Lactame-lactime tautomerization¶
| Molecules | Generic tautomers | Normal canonical tautomers |
|---|---|---|
Nitroso-oxime tautomerization¶
In the case of the nitroso-oxime tautomerization the generated generic tautomer forms are the same, while the normal canonical tautomers are different. This shows that both forms are stable and exist in water as distinct compounds.
| Molecules | Generic tautomers | Normal canonical tautomers |
|---|---|---|
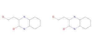
Counter examples - differences between the two models¶
The following examples show molecule pairs for which the generic forms are identical but the normal canonical forms are different. This shows that while the generic tautomerization model considers the two forms as a tautomer pair, the normal canonical model does not. This means that the two molecules can be considered as distinct molecules.
| Molecules | Generic tautomers | Normal canonical tautomers |
|---|---|---|
Speed¶
The generic tautomer generation was measures to be 5x faster than the normal canonical generation. These minor speed tests were run on a MacBook Pro (2.7 GHz Intel Core i5, 8GB DDR3).