Multi-component compounds are compounds which are composed of two or more components. Regarding the actual technical solution, these components also exist as independently-registered single-component compounds in the registration system. Different types of multi-component compounds exist based on purpose and on the level of accuracy of the composition information: alternates, formulation, mixtures, and polymers. A multi-component compound is distinct from a structure having multiple fragments within a structure field that has been registered as a single compound (without registering each fragment individually).
Registration¶
When registering multi-component compounds (e.g. by drawing), the default component identifiers will be parent component IDs on the parent level of the multi-component compound and version component IDs on the version and lot level of the multi-component compound.
User can load components (parent, version or lot) when creating the multi-component compound for registration. In such cases it is possible to set lot level component IDs for the lot level of the multi-component compound (and automatically version component IDs will be set for the version level of the multi-component compound and parent component IDs will be set for the parent level of the multi-component compound).
Multi-component compounds containing No structures as components can be registered if CST is provided for the components.
The structure type name of the multi-component compounds (as well as the Single and the No structure structure types) can be easily renamed (for more details see the Chemical structures).
Alternate¶
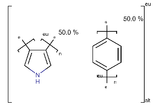
The Alternate is an abstract representation of an uncertain structural information. An Alternate can be a list of possible chemical forms of a certain compound. The Alternate is a multi-component compound without quantitative composition information. For Alternates, no MF and MW are calculated.
Mixture¶
A type of multi-component compound with semi-quantitative composition information. In the case of a Mixture, every component has an assigned range that represents the relative amount of the component (e.g. component 1 composes 30-40% of the mixture, while component 2 composes 60-70%). The maximum number of the components and the component range values can be configured independently. Some of them can also be used as unknown ranges, in the case of uncertain information. When a Mixture has an unknown component range an additional 'UNKNOWN' data is also attached to the structure.
Formulation¶
A multi-component compound with exact quantitative composition information (e.g. component 1: 37%, component 2: 63%). A practically arbitrary number of components can be defined. All the component percentages should be positive and their sum should be equal to 100.
Polymer¶
We support the representation of polymers (polycondensates) that are created via a condensation reaction from monomers X-A-X and Y-B-Y, resulting in alternating copolymers with the general structure ...A-B-A-B-A-B...
The rules/leaving group pairs (X, Y) can be defined in a Polymer configuration page. E.g.:
![]() |
|---|
| Polymer settings on the Administration page |
The polymer structures are constructed according to the defined rules. The polymer representation is using the followings:
-
From each monomer, the polymer unit/SRU (structural repeating unit) is created with the settings:
- Multiplicity: n (default), can be changed
- Percentage data (%): any value can be set (no validation is performed)
- Bracket style: square, cannot be changed
-
If more "A" and/or "B" units are present, all "A" and all "B" units are separately grouped by:
- Group type: Copolymer alternating (alt), cannot be changed
- Bracket style: square, cannot be changed
-
The whole polymer is grouped by:
- Group type: Unordered mixture (mix), cannot be changed
- Bracket style: square, cannot be changed
- Repeating Pattern: eu (either/unknown), cannot be changed
The resulting polymer is independent of the monomers they have been created from, respectively, if the polymer has been synthesized from X-A-X and Y-B-Y, or from Y-A-Y and X-B-X
Variants within the A's and B's, such as A, A', A'', end cappers (with one connecting bond only) and branches (three or more connecting bonds) are supported.
Polymer examples¶
Leaving group 1: COBOC
Leaving group 2: Cl
| Monomer A 50% | Monomer B 50% | Polymer with one A and one B unit |
|---|---|---|
| Monomer A 40% | Monomer A 10% | Monomer B 20% | Monomer B 30% | Polymer with two A and two B units |
|---|---|---|---|---|
![]() |
A polymer can be generated from a secondary amine (R1-NH-R2-NH-R3) and a halogen-containing monomer (X-R4-X; X = Br, Cl, I). Here the leaving groups are hydrogen and halogen, respectively; resulting in a polymer like: - R4 - N(R1) - R2 - N(R3) - R4 - (typically, R1=R3).
In order to set an explicit Hydrogen as a leaving group, this should be specified as [H].
In order to apply an explicit Hydrogen as a leaving group, the system configuration must NOT contain the Remove explicit Hydrogen as a standardizer action.
Substructure search for polymers¶
After registering polymers the user can use the substructure search functionality in order to retrieve results.
![]() |
![]() |
|---|---|
| Substructure search resulting polymers | The magnified polymer result of a substructure search |
Amendment¶
The amendment of multi-component compounds is allowed and it is possible also to amend the component compounds which will have a "cascade" effect on the multi-component compounds (if it is approved).
During the amendment (e.g. on the parent level) of a multi-component compound, if a match list is invoked and component parent matches are accepted, as a result the version and lot level of the multi-component compound will be linked to parent component IDs (the accepted ones from the Match list) and not to the originally set component version or lot IDs.



