Calculations and Structure Processing Algorithms¶
Molecular mass and molecular formula¶
By default, Registration System calculates and displays average molecular masses with the exception of isotope containing compounds rounded to four digits, the user's supplied molecular masses (up to 6 digits) and compounds containing CST only structures for which no molecular mass is given.
MW and MF considering the salt/solvate information¶
Salt/solvate fragment is a part of molecular formula of a compound at version and lot level.
In the Formula first stands the Formula of the component, then salts are represented with their multiplicity standing before their molecular formula (1 is not marked) separated by dots in order of their id in the salt/solvate dictionary and then solvate follow in a similar way.
The MolWeight of a version (and lot) always includes the salt/solvate information which is calculated based on the Formula. Therefore it should be noted that the MolWeight on Amendment or Search pages always includes the salt/solvate information.
Specified MW¶
Currently the Registration System enables the user to set an arbitrary value for the molecular mass (and in the future also for the Formula). If the new value is set in the Registration or in the Submission page it is inherited by the whole tree. On the Amendment page it is possible to set a User-supplied MW only from the version level. Here the user can set different values for the parent and version level. The lot will automatically inherit the user-supplied MolWeight of the version. The User-supplied MolWeight is highlighted in Amendment page. A User-supplied MolWeight can be deleted on the version level the MolWeight field will be filled with the calculated value.
MF and MW for alternates¶
Alternates by definition are multi-component compounds without quantitative composition information and therefore its Formula and MolWeight are not calculated (even though user can supply them).
MF and MW for formulations¶
The Formula of versions and lots of these formulations with exact quantitative composition information is built up from the Formula of the version (excluding salt/solvate info) of the individual components separated by dots. The order of the components reflects the order in which the components were registrated. Salt/solvate information is added as it is described above.
Similarly, the Formula at parent level is represented by the Formula of the parent compound of individual components.
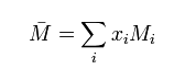
The average molecular mass ( M ) of formulations at version and lot level is calculated from the mole fractions xi of the components and their molecular masses Mi .
The molecular mass of formulations having salt/solvate fragment(s) is calculated adding the molecular mass(es) of the salt/solvate multiplied with their multiplicity to the molecular mass obtained by the above method.
The average molecular mass of formulations at parent level is calculated alike from the molecular masses of the parent compound of the components.
MF and MW of mixtures¶
Formula of mixtures is given in the same way as it is described in the case of formulations at both version and parent level. The molecular mass of mixtures is calculated from the average of the percentage range of the components similarly to that of formulations. For the molecular mass of mixtures which have component with undefined range 0 is displayed.
