Skip to content

Unordered Mixtures and Ordered Mixtures

Unordered mixtures (also called mixtures) and ordered mixtures (also called formulations) can be expressed by component type groups. A component is a set of atoms contained by a component bracket.

An unordered mixture (denoted by mix at the bottom of the right bracket) consists of several unordered components (denoted by c at the bottom of the right bracket).
For these types of mixtures, the order of addition during the preparation is not important.

An unordered mixture

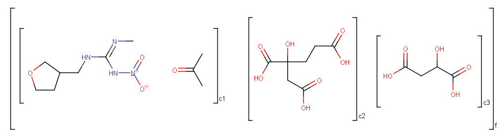
Ordered mixtures, on the other hand, contain ordered components, which define the order of addition.

An ordered mixture

Draw an Unordered Component

  1. Draw the structures that form the mixture.
  2. To define a structure as a component in the mixture, click the Create Group tool, and select the structure.
  3. In the Create Group dialog window, choose Component © from the Type list.
  4. The Order field must be empty or must contain none . If the Order field already contains a number, just delete it (you can type in none as well).
  5. Click OK.

Draw an Ordered Component

  1. Draw the structures that form the mixture.
  2. To define a structure as a component in the mixture, click the Create Group tool, and select the structure.
  3. In the Create Group dialog window, choose Component © from the Type list.
  4. If this is the first component of the mixture, click the Order field and enter 1 in the place of none . If the Order field already contains a number MarvinSketch will automatically increment the Order field for subsequent components.
  5. Click OK.

Draw a Mixture

  1. Create the components to form the mixture.
  2. Click the Create Group tool and select the structures.
  3. In the Create Group dialog window, choose Ordered mixture (f) or Unordered mixture (for) from the Type list.
  4. Click OK.

Change the Type of a Mixture

  1. Hover the mouse over the group.
  2. Right-click and choose Edit Group from the context menu.
  3. Change the mixture type.
  4. Click OK.

To add a new component to a mixture draw the new component then drag one part of the bracket and move it to enclose the new component.

To delete a component from a mixture, select the component and press Delete or select the Erase tool.