Mirroring¶
In MarvinSketch, it is possible to produce mirrored images of molecules of parts of it.
The action can be reached through Edit > Transform.
When there is no selection made, the action is executed globally on the whole canvas (except in the case of Group Mirror).
When there is only one connecting bond between the selected and unselected parts of the structure, the Group Mirror command is available.
The group is mirrored to the plane perpendicular to the plane defined by the two atoms of the above mentioned connecting bond plus a neighboring atom (in the group) that is not collinear with the connecting bond.
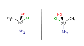
In mirrored molecules, the stereocenters are inverted.
The table below lists the available mirror actions along with an example.
| Mirror action | Icon | Example |
|---|---|---|
| Mirror Horizontally | ![]() |
![]() |
| Mirror Vertically | ![]() |
![]() |
| Mirror to Canvas | ![]() |
![]() |
| Group Mirror | N/A | ![]() |






