Appendix B. Markush Structures¶
As a fundamental feature of the system, the Markush and non-Markush structures are stored in separate structure (STRUCTURE and STRUCTURE_MARKUSH) tables, but have the same method for corporate ID generation and storage hierarchy. They support the same additional data attached to the preparation level as well.
For a list of supported Markush features please check the JChem documentation.
Markush vs non-Markush structures¶
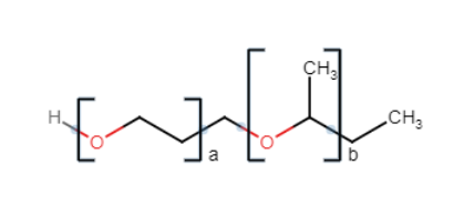
For the case when it is not unequivocal how the Registration system will categorize a structure we present you the following table:
| Markush | non-Markush |
|---|---|
![]() |
|
![]() |
The structures containing star atoms and/or repeating units with unknown value are always considered non-Markush. For more details please check the appropriate JChem documentation.
¶
Registration¶
None of the structure related operations are performed on the Markush structure. E.g. salt/solvate stripping from the structure itself would not work, on the other hand the specified and attached salts are properly considered.
Depending on the workflow steps settings considering the RejectMarkushValidator and MarkushStructureValidator for the "Auto registration" workflow, the structure might be automatically registered or failed. Using the default settings:
-
Simple Registration (Registration page)
All Markush structures submitted to registration will fail. Submissions will fall to the Staging intentionally, they always have to be reviewed.
-
Advanced Registration (Registration page)
All Markush structures submitted to registration will be registered.
-
Registering form the Submission page (Staging area)
All Markush structures submitted to registration will be registered
When registering using the Advanced Registration mode or from the Submission page (Staging area) the match list will be encountered if the registered Markush structure has matches in the DB. Two match types can be available:
-
#### Markush Structure Exact Match
Is the case when the registered Markush structure has an exact match in the DB:
![]() |
|---|
| Markush Structure Exact Match |
In case of exact match the only available match action is the Accept, the new lot will be registered under the existing (accepted) parent.
-
#### Markush Structure Overlap
Is the case when the registered Markush structure has the same scaffold and there is at least one common R-group between the registered one and the one is going to be registered:
![]() |
|---|
| Markush Structure Overlap for structures with R-group |
![]() |
|---|
| Markush Structure Overlap for structures with repeating units |
In case of "overlap" both match actions Register as Unique and Accept are available. The new lot can be registered under a new parent structure or can be registered under the existing (accepted) parent.
Markush structures do not have valid SMILES and Molecular Formula or Molecular Weight is not generated either. But the Markush structures (and other structures as well) are stored in the DB in mol V3000 format.
Bulkloader¶
Depending on how the workflow steps RejectMarkushValidator and MarkushStructureValidator are configured for the "Auto registration" (more details can be found here),
Markush structures submitted to registration from the Bulkloader might fall to Staging.
Markush structures, if not autoregistered, can be easily registered from the Staging area/Submission page.
The structure related operations (e.g. selected structure checkers and fixers; salt/solvate stripping from the structure) are not applied for Markush structures that are not autoregistered.
Chemical reactions containing the reactants and the products as Markush structures cannot be registered within Compound Registration system since these cannot be stored in a regular Molecule or Markush table.
Staging¶
The Markush submissions are displayed the same way as the non-Markush ones in the ’Staging table’. The status of a Markush structure is typically "Markush structure found", except for those cases where the validation process fails prior to the Markush check, e.g. because of an invalid ID provided.
Submission¶
Individual submissions in the Staging Area are displayed in a uniform style, regardless of the fact if it is a Markush structure or not. The structure editing area shows the Markush structure if available, that can be freely edited here.
- ’Save’, ’Restore’, ’Assign’, ’Unlock’, ’Register with CN’ actions work as expected.
- ’Show possible hits’ action shows all the Markush structure hits – and only those ones – if the submission contains a Maskush input; it shows only non-Markush hits if the input structure is not Markush. The same options are available that can be used for the non-Markush structures, and all the Markush matches will be presented that have an overlap with the input one.
- ’Register’ action: the same feature applies for the match list dialog during the registration as in the case of ’Show possible hits’ above.
- The system would not allow the registration of Markush structures as part of multi-component structures.
- Some of the registration options and structure checkers/fixers of the page would not be applicable in case of Markush structures (like ’Analyze Salt Solvate Fragments’), those will be automatically bypassed.
Amendment¶
Regular (Single Structure type) structures can be successfully amended to Markush structures.
During the amendment of Markush structures
the same match list will be displayed as it is described above.
The list of amendment types involving also Markush structures is available here.
Audit¶
Audit structure images (and the ones provided in the summary and history dialogs as well) show the appropriate images, even Markush if needed.
Search¶
There is an option (toggle) available as a Search option exposed to the end-user if the search should be run against simple structures or Markush ones.
- In the OFF case (simple structure search), the existing options would be available in the Search page (Duplicate, Substructure, Similarity; w/ or w/o Stereo and Tautomer matches extension) and the search will be performed against the „simple” structures only.
- When the Markush search is set ON, the search method would always be a Markush overlap search/estimation against the Markush structures only. It would return the results along with some numbers that reflect the similarity/overlap of the hit and the query Markush. The hits are displayed the same way as in case of simple structure search with the only difference that an improved zoom functionality has to be included because the Markush structures might be unreadable in certain display dimensions.
![]() |
|---|
| Substructure search result resulting Markush structures after CR version 25.3.0 |
Before CR version 25.3.0: substructure search was not yet prepared to handle the case when repetition number (SRU) is larger than 500 or the repetition range includes 500 or higher in case of Markush structures.
After CR version 25.3.0: substructure search is prepared to handle the case when repetition number (SRU) is larger than 500 or the repetition range includes 500 or higher in case of Markush structures. More info is about Markush limitations is availabe on the JChem Base repeating units page.
This search method might be slow in cases where the Markush structures are large or if there are many Markush structures already registered.
- Searches can be performed with a single well defined structure or Markush structure
- The combined search types – structure + additional data filtering – would be disabled in Markush cases, because of performance issues, but data filtering against Markush structures should work as before (after clicking the checkbox).
Note that the Search option (Markush search ON or OFF) is remembered on the Search page.
Salt Search¶
Salt search functionality is not affected by the Markush structures, the use of Markush structures as salts/solvates is not allowed.





