Groups¶
Link Nodes¶
Marvin JS does not differentiate between repeating units, link nodes, and copolymers in display or creation.
However, there are restrictions to export a group as a link node, these are as follows:
- There must be one atom in the group.
- The repeating pattern must not have been set (or it must be the default value).
- The number of repetitions must be a range that starts at 1.
To create a link node with the S-group tool, follow the steps below:
- Select the S-group tool, then select the atom you would like to change to a link node with it.
- Then the S-group dialog opens. Leave the repetition pattern on the default value and set the repetition range from the value 1 to the number you would like, then click OK.
- After the dialog closes, the link node is established.
To create a link node with the Selection tool, follow the steps below:
- Select the atom you would like to group with one of the Selection tools then click the S-group tool.
- The S-group dialog opens. Leave the repetition pattern the default value and set the range from the value 1 to the number you would like, then click OK.
- After the dialog closes, the repetition unit has been established.
You can change a link node to a repeating unit by changing the range, or the repeating pattern.
Changing the atom type, in this case, is not possible.
Right-click on the atom in the brackets, then select Ungroup from the menu.
When you modify the atoms or bonds in the group, it will automatically ungroup.
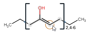
Repeating Units¶
When the repetition pattern is set to (ht) or eu and a single integer is specified as the repetition range, S-groups can be displayed as contracted multiple S-groups in the generated molecule source. The corresponding integrator setting must be used.
To create a repetition unit with the S-group tool, follow the steps below:
- Select the S-group tool, then select the structure you would like to group.
- The S-group dialog opens. Select the repetition pattern and specify the repetition range, then click OK.
- After the dialog closes, the repetition unit is established.
To create a repetition unit with the Selection tool, follow the steps below:
- Select the structure you would like to group with one of the Selection tools, then click the S-group tool.
- The S-group dialog opens. Select the repetition pattern and the repetition range you would like, then click OK.
- After the dialog closes, the repetition unit is established.
A structure is exported as a link node when one atom has been selected and the repetition pattern is the default value (ht) and the repetition count rage starts at 1.
You can change the range and the pattern of the repetition by opening the S-group dialog.
With the active S-group tool hover over the group on the canvas with the mouse cursor. When the elements of the group are highlighted in gray, left-click within the brackets.
In the opening S-group dialog, you can change the current values.
When you modify the atoms or bonds in the group, it will automatically ungroup.
Copolymers¶
- Create the components to form the copolymer.
- Click the S-group tool on the toolbar then select the components to be included. It is also possible to select the components with any of the selection tools and then click the S-group tool.
- In the S-group dialog select the repetition pattern and type
coin the label field. - Click OK.
To ungroup a copolymer, right-click the structure within the brackets, then select Ungroup from the menu.
When you modify the atoms or bonds in the group, it will automatically ungroup.





