Why Use Standardizer¶
Standardizer converts various forms of chemical structures into customized canonical representations. This maintenance of molecules is essential to create consistent compound libraries. After performing a successful standardization, the following tasks can be reliably executed on the compound database:
Compound registration
In order to maintain compound database quality, new compounds should enter the database in a previously defined canonical representation. New molecules can be passed through the customized list of standardization actions of Standardizer to derive the desired chemical form that is consistent with previous database molecules.
See Typical Workflows to learn more about standardizing in compound registration systems.
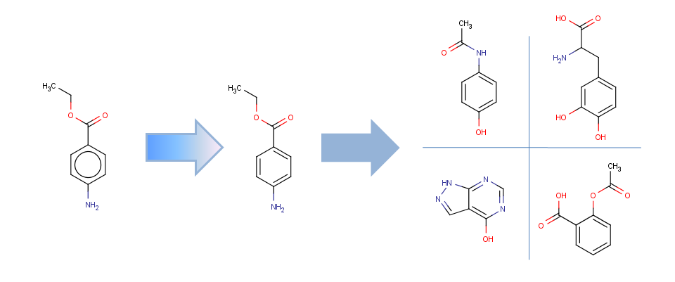
Multiple entry removal
As chemical compounds may exist in different structural representations, the same molecule can appear multiple times in a database. Using consistent molecular representations created by Standardizer can uncover this issue.
Structure based searches
Certain patterns in chemical structures can occur in various forms that, depending on the search conditions, can impair structure based searching. Uniform molecular representations produced by Standardizer can thus significantly improve search accuracy.
See also :


