Multicomponent¶
- Checker searches for multiple components in the drawing.
- Fixer: no fixer is available for this checker.
Example :
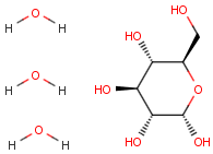
Multicomponent Checker (multicomponent) |
Warning: | Fix |
|---|---|---|
| Detect disconnected fragments | ex_multicenter_ch |
Example :
Multicomponent Checker (multicomponent) |
Warning: | Fix |
|---|---|---|
| Detect disconnected fragments | ex_multicenter_ch |