Calculator Plugins History of Changes¶
23rd February 2023, Calculator Plugins, 23.3¶
Bugfixes:
- The precision of the calculated molecular weight is returned and displayed with 3 digits even if it is set to another value (e.g. 8).
8th February 2023, Calculator Plugins, 23.2¶
Bugfixes:
- The pKa and the Major Microspecies Plugin returns different major microspecies at pH 7.4 for a heterocyclic compound. The issue was
originally reported in KNIME.
- The generic tautomer generation process throws ArrayIndexOutOfBoundsException for the H atom as an input.
- Different major microspecies are generated at some pH values for two molecules from different input files when the Take major tautomeric form option is used.
- The major tautomer generation throws ArrayIndexOutOfBoundsException for a small set of molecules.
New features and improvements:
- Some smaller improvements were added to the tautomer generation models regarding 1,3 tautomerism
- The predicted pKa and dominant tautomer distribution is improved for 4-methylimidazole
25th January 2023, Calculator Plugins, 23.1¶
No changes.
13th December 2022, Calculator Plugins, 22.22¶
No changes.
1st December 2022, Calculator Plugins, 22.21¶
New features and improvements:
- The new Blood-Brain Barrier (BBB) Score Predictor is released
Bugfixes:
- The precision parameter (-p) does not work properly in case of the CNS MPO Predictor
24th November 2022, Calculators Plugins, 22.20¶
Bugfixes:
- Major tautomer generation throws ArrayIndexOutOfBoundsException for a small subset of the ChEMBL (containing around 240 molecules) database.
- Inconsistent major microspecies are generated for certain input structures with set valence properties.
- Generic tautomer generator throws NullPointerException for some molecules.
- Major microspecies calculation with/without the Take major tautomeric form' option generates different output for the OCN and SCN molecules.
- Some tautomers of the All Tautomers set do not match with the original structure used as a query in JChem tautomer search because of wrong
generic tautomer forms.
New features and improvements:
- The CNS MPO Score prediction is available in the public Java API.
- The pKa prediction is improved based on acidic and basic pKa dataset.
- Some improvements of the normal canonical tautomer model are done related to the transitivity of the tautomer search.
24th November 2022, Chemical Terms, 22.20¶
Bugfixes:
- The groupedDotDisconnectedFormula() function does not generate the right formula for some molecules with multiple components.
26th October 2022, Calculator Plugins, 22.19¶
New features and improvements:
- Major tautomer is used instead of the normal canonical form when tautomerization can be taken into consideration during predictions.
- Improved predicted canonical resonant form and logP values of sodium taurocholate and pelargonidin chloride salts. Also some of their pKa values
are improved.
- Some weak acidic CH and basic pKa values are improved for a small sulfonamide molecule set.
- Some predicted pKa values of molecules from public literature with keto-enol tautomerization are improved.
- The predicted partial charge of the ND2 N atom in asparagine is improved.
- The predicted strongest acidic pKa values of the two fluorophores Pacific Blue and Pennsylvania Green are improved based on
experimental data.
- The speed of normal canonical tautomer generation is greatly improved (major slow-down found on a small ChEMBL test set).
- Normal canonical tautomerization provides the same before-after atom mapping as the generic tautomerization.
Bugfixes:
- Different pKa values are predicted for the same cyclic molecule saved in MRV and SMILES formats.
- Cxtrain fails to generate training library for small molecule sets.
- ArrayIndexOutOfBoundsException is thrown for a star-like molecule during standardisation because of normal canonical
tautomer generation (valence issue).
- Different generic tautomers are generated for the same two molecules imported from different SMILES representations in JChem
tautomer search (normal canonical tautomers are the same).
- ArrayIndexOutOfBoundsException is thrown for a multi-ring molecule when some major phys-chem properties (e.g. logP) are calculated.
26th September 2022, Calculator Plugins, 22.18¶
No changes.
18th October 2022, Calculator Plugins, 22.17¶
No changes.
7th September 2022, Calculator Plugins, 22.16¶
No changes.
8th August 2022, Calculator Plugins, 22.15¶
New features and improvements:
- Total charge appears after the summed formula of a molecule in formula generation with charge (e.g. C6H4NO3[-]).
2nd August 2022, Calculator Plugins, 22.14¶
No changes.
27th June 2022, Calculator Plugins, 22.13¶
New features and improvements:
- The cxtrain pKa training algorithm for small molecule sets is improved.
- pKa prediction and tautomer generation for some sets with experimental data are improved.
- Failed logP calculation on some ChEMBL set is fixed.
15th June 2022, Calculator Plugins, 22.12¶
New features and improvements:
- Documentation/Description of the min and max pKa calculation options is updated in the cxcalc command line tool.
24th April 2022, Calculator Plugins, 22.11¶
No changes.
22nd March 2022, Calculator Plugins, 22.9¶
No changes.
17th March 2022, Calculator Plugins, 22.8¶
No changes.
28th February 2022, Calculator Plugins, 22.7¶
No changes.
22nd February 2022, Calculator Plugins, 22.6¶
No changes.
14th February 2022, Calculator Plugins, 22.5¶
New features and improvements:
- pKa prediction accuracy is improved based on some publicly available dataset tests
(including a small test set of NH acids and a small test set of mostly tertiary amines).
Bugfixes:
- Command line tool cxtrain does not create training library for some publicly available pKa dataset.
9th February 2022, Calculator Plugins, 22.4¶
No changes.
3rd February 2022, Calculator Plugins, 22.3¶
No changes.
22nd January 2022, Calculator Plugins, 22.2¶
No changes.
13th January 2022, Calculator Plugins, 22.1¶
No changes.
21st December 2021, Calculator Plugins, 21.20¶
New features and improvements:
- Some further improvements of the generic tautomer model based on public tautomer database tests.
- The pKa prediction accuracy is improved based on some publicly available dataset tests.
Bugfixes:
- One of the enhanced and1 stereolabels of the paclitaxel molecule is removed during standardisation (tautomerization).
- Incorrect major tautomer form is generated for 2,3,7,8-tetrahydroxyphenazine.
10th December 2021, Calculator Plugins, 21.19¶
New features and improvements:
- Calculator Plugins stop supporting Java 8 and start supporting Java 11. Please read the details in this new post.
22nd October 2021, Calculator Plugins, 21.17¶
Bugfixes:
- The msdistr2 cxcalc function throws IllegalArgumentException (IAE) when the -p (percentage) option is used.
14th October 2021, Calculator Plugins, 21.16¶
New features and improvements:
- New option for specifying a pKa correction/training library for the microspecies distribution and major microspecies calculator functions (microspeciesdistribution, msdistr, majormicrospecies, majorms) is available in cxcalc.
21st September 2021, Calculator Plugins, 21.15¶
New features and improvements:
- The generic, canonical and normal canonical tautomer models are greatly improved based on public tautomer database tests.
- The hERG acitivity and classification models are avavilable in DesignHub.
13th August 2021, Calculator Plugins, 21.14¶
New features and improvements:
- Nominal mass calculation is added to the Elemental Analysis Plugin and cxcalc (nominalmass function).
13th August 2021, Chemical Terms, 21.14¶
New features and improvements:
- New nominalMass() function is added to Chemical Terms for calculating nominal mass.
27th July 2021, Calculator Plugins, 21.13¶
New features and improvements:
- The classification hERG model is built and added to the hERG Predictor in MarvinSketch and cxcalc (herg-beta function) for prediction.
27th July 2021, Chemical Terms, 21.13¶
New features and improvements:
- New hergActivityBeta() and hERGClassBeta() functions are added to Chemical Terms for hERG activity and classification class prediction.
14th July 2021, Calculator Plugins, 21.12¶
Bugfixes:
- pKa value predicted by the LARGE model (in MarvinSketch) should be close to the one predicted by the SMALL model for a molecule with many ionisable groups (with many aliphatic chains).
- Two polycyclic molecules throw exceptions when generic tautomers are generated for them.
18th June 2021, Calculator Plugins, 21.11¶
Bugfixes:
- Different normal canonical tautomers are generated for tautomers of 4-pyridone.
- Some pairs of tri-keto compounds do not match in tautomer search due to different normal canonical tautomer forms.
- Generic tautomers of two tautomers of a polycyclic heteroaromatic compound are not identical.
- Some molecule pairs are not found in tautomer search after initial standardization due to different generated normal canonical tautomers.
3rd June 2021, Calculator Plugins, 21.10¶
New features and improvements:
- Valence error checking is added before generating tautomers for molecules.
Bugfixes:
- Generic tautomer generator throws exception for LiH (metal hydride).
- NullPointerException is thrown in the NMR Predictor for a compound due to failed NMR shift retrieval
28th January 2021, Calculator Plugins, 21.2¶
New features and improvements:
- Consider tautomerization/resonance option is available in the Isoelectric Point (IEP) Plugin in MarvinSketch and cxcalc.
- Predicted Davies HLB values are improved for some gemcitabine lipid pro-drug molecules.
- Predicted Griffin HLB values are improved for some beta-D-maltoside and glucoside compounds.
Bugfixes:
- Exceptions are thrown when dominant tautomer distribution/major tautomer is calculated/generated for some molecules.
- Difference in the predicted logD plots and tautomer distributions for some molecule pairs represented as different SMILES strings.
- Some pKa values are missing from the predicted pKa values for some peptides.
5th January 2021, Calculator Plugins, 21.1¶
New features and improvements:
- Normal option is available for the generictautomer cxcalc function.
- Licensing of the Calculator Plugins in the Marvin Desktop Suite changed, see the licensing page for details.
1st December 2020, Calculator Plugins, 20.21¶
New features and improvements:
- New CNS Multi-parameter Optimization (MPO) Score Predictor is released in MarvinSketch, cxcalc and Chemical Terms
- Normal option is added to the generic tautomer method of the Tautomerization Plugin in MarvinSketch (Tautomer regions method)
Bugfixes:
- The msdistr and the majorms cxcalc functions do not generate the same major microspecies at pH 7.4 for a set of molecules with the same calculation settings.
- Incorrect charge transfer from a O- group to a C atom in some molecule when the major tautomer is generated for it, resulting in a C- carbanion.
- Protect labelled tetrahedral stereocenters only option of the Tautomerization Plugin does not work when major tautomer is generated at a given pH (e.g. 7.4).
- Major tautomer generation at pH 7.4 in cxcalc fails for a charged molecule stored in SD format.
- Wrong major tautomer form is generated (double bond of a ring is incorrectly moved) for the molecule morphidone.
- The Major Microspecies Plugin and majorms cxcalc function behave differently (keeping/removing the K+ counterion) on a triazole salt.
- Incorrect dominant tautomer forms are generated for 3H-imidazo[4,5-b]pyridine and other analogue heterocyclic compounds.
- Some generic tautomers of sets of heterocyclic compounds were different.
- Generic tautomer generation for some molecules coming from Compliance Checker throws AIOOB Exception
26th October 2020, Calculator Plugin, 20.20¶
New features and improvements:
- Beta version of the hERG Predictor (hERG-beta) is released in MarvinSketch, cxcalc and Chemical Terms.
24th June 2020, Calculator Plugins, 20.15¶
New features and improvements:
- Updating the elemental weights to the 2019 IUPAC weights in the Elemental Analysis Plugin
9th June 2020, Chemical Terms, 20.14¶
New features and improvements:
- New hybridization() function for counting atoms of a certain hybridization state is introduced.
14th May 2020, Chemical Terms, 20.13¶
New features and improvements:
- New volume() function for calculating molecular (vdW) volume is introduced.
14th May 2020, Calculator Plugins, 20.13¶
Bugfixes:
- Wiggly bonds are put in the generated major tautomer forms of the some molecules with defined E or Z bonds.
New features and improvements:
- Show tautomer region option is introduced in the Tautomerization Plugin for generating generic tautomer forms in MarvinSketch.
27th April 2020, Calculator Plugins, 20.12¶
Bugfixes:
- Incorrect pKa value of H2CO3 is predicted when calculation is done for NH4+ salts.
10th March 2020, Calculator Plugins, 20.8¶
New features and improvements:
- Option for setting the correction library path for the pKa and logP training files in the logD node of Pipeline Pilot is introduced.
18th December 2019, Calculator Plugins, 19.27¶
Bugfixes:
- Tautomerization/tautomer generation fails for a molecule with valence error.
- Differences in logD calculation results with and without the Consider tautomerization option for some molecules with only one dominant tautomer form.
New features and improvements:
- Take tautomerization into account during IEP calculation with the IEP Plugin: IEP is calculated for the major tautomer form of the input molecule.
13th November 2019, Calculator Plugins, 19.24¶
Bugfixes:
- cxcalc throws Exceptions during charge distribution calculation due to error in pKa calculation.
5th August 2019, Calculator Plugins, 19.19¶
Bugfixes:
- Exceptions and errors in generic tautomer generation for a set of aromatic and heteroaromatic agents are thrown.
11th July 2019, Calculator Plugins, 19.17¶
New features and improvements:
- New Required HLB calculation is introduced in the HLB Predictor and it becomes available in MarvinSketch and cxcalc
20th June 2019, Calculator Plugins, 19.14¶
Bugfixes:
- NullPointerException is thrown for some D-substituted compounds during standardisation.
- Error in valence checking causes normal canonical tautomer generation to fail during standardisation of some salt compounds.
New features and improvements:
- Varying assignment of close pKa values in symmetric molecules with many pKa values.
30th May 2019, Calculator Plugins, 19.12.0¶
Bugfixes:
- Some fixes for normal canonical tautomer generation.
17th May 2019, Calculator Plugins, 19.11.0¶
New features and improvements:
- Improvements of the MolecularFormulas and Elemental Analysis API.
3rd May 2019, Calculator Plugins, 19.10.0¶
Bugfixes:
- False negative tautomer search hit for some molecules due to incorrect generic tautomer pairs.
29th March 2019, Calculator Plugins, 19.9.0¶
Bugfixes:
- Incorrect generic tautomer pairs were generated during tautomer search for some molecules.
New features and improvements:
- Improved pKa and tautomer calculations for some molecules.
25th February 2019, Calculator Plugins, 19.6.0¶
New features and improvements:
- the Protect Charge option of the tautomer generation is automatically adjusted in case of dynamic pKa calculations.
11th February 2019, Calculator Plugins, 19.4.0¶
Bugfixes:
- Quaternary pyridine effect on phenol is improved for the pKa calculation.
- Improved canonical tautomer generation for some molecules.
- Incorrect generated normal canonical form is fixed for some molecules.
18th January 2019, Calculator Plugins, 19.2.0¶
Bugfixes:
- LogD calculation with the Consider tautomerization option does not terminate for casein.
- Compound chemical formulas of molecules without C atoms are not listed alphabetically.
New features and improvements:
- Improving the predicted pKa values of certain CH acids
- Weights of elements in the elements.txt file (used by the Elemental Analysis Plugin) are updated to the IUPAC 2017 values
13th December 2018, Calculator Plugins, 18.30.0¶
Bugfixes:
- Elemental Analysis Plugin handles repeating unit groups incorrectly during calculation
- Incorrect standardized forms of some ChEMBL compounds and salts
- Strongest basic pKa value of cytosine needs some correction based on experimental data
- Fixing some Exception in charge calculations during standardization
- Inconsistent pKa values of ionised and neutral form of boronic acids
30th October 2018, Calculator Plugins, 18.25.0¶
Bugfixes:
- Microspecies table of the pKa Plugin does not change when pKa is calculated at different temperatures
5th September 2018, Calculator Plugins, 18.22.0¶
Bugfixes:
- Incorrect Exception is thrown when molecule with valence error is standardized
24th August 2018, Calculator Plugins, 18.21.0¶
Bugfixes:
- Amine compounds lose stereo flags during tautomerization in standardization processes (in Standardizer)
- H atom is added to the generated resonant structure of heterocyclic compounds during standardization (in Standardizer)
- Incorrect standardized (normal canonical tautomer) forms of stereoisomers of sulphur compounds
1st August 2018, Calculator Plugins, 18.18.0¶
Bugfixes:
- De-aromatization of a large ring with N fails
- Standardization (tautomerization) results of the same molecule coming from DB sources are different
17th July 2018, Calculator Plugins, 18.17.0¶
Bugfixes:
- Incorrect pKa value of a pyrimidine ring N atom of a compound
7th June 2018, Calculator Plugins, 18.13.0¶
Bugfixes:
- Elemental Analysis Plugin calculates properties for molecules with position variation bonds incorrectly
18th May 2018, Calculator Plugins, 18.11.0¶
Bugfixes:
- Inconsistent pKa values with changing min/max calculation options
- Inconsistent isoelectric point calculation for iminodiacetic acid
- Incorrect isoelectric point calculation for omeprazole
- Update/Fix pKa value for carbonic acid/bicarbonate
9th March 2018, Calculator Plugins, 18.8.0¶
Bugfixes:
- Wrong generic tautomer forms in some cases
New features and improvements:
- Improving the pKa calculation and the logD values for some bioisosteric compounds
10th January 2018, Calculator Plugins, 18.1.0¶
New features and improvements:
- Adding the Recognize pseudo formula in pseudo labels option to the ElementalAnalyzerPlugin node in KNIME
Bugfixes:
- Topology Analysis outputs incorrect values for some molecules
6th December 2017, Calculator Plugins, 17.29.0¶
Bugfixes:
- Solubility Predictor calculates different solubility values for the same molecule in neutral and ionized forms
- Generic tautomer forms of a molecule pair with negative charge are incorrect
- Exception is thrown during pKa calculation for tricyclic bromine compounds
23rd October 2017, Calculator Plugins, 17.27.0¶
New features and improvements:
- Calculating molecular weight from molecular formula. See the API doc page of this feature
16th October 2017, Calculator Plugins, 17.26.0¶
Bugfixes:
- Incorrect tautomerization of some heterocyclic molecules during standardization
- Incorrect tautomerization of zwitterionic sydnone compounds
18th September 2017, Calculator Plugins, 17.23.0¶
Bugfixes:
- Incorrect normal canonical tautomer forms of sulfanone derivatives
28th August 2017, Calculator Plugins, 17.20.0¶
Bugfixes:
- Different dominant tautomer distribution of the same molecule with a rotated bond
- Different normal canonical form of the same molecule
7th August 2017, Calculator Plugins, 17.18.0¶
Bugfixes:
- Stereoisomer generation in KNIME throws exception for some molecules
3rd July 2017, Calculator Plugins, 17.14.0¶
New features and improvements:
- The Isoelectric Point Plugin is improved so that it handles quaternary amine salts as a microspecies carrying +1 charge (instead of neutral)
- Modifying the table header of the exported PDF file in the Solubility Predictor
Bugfixes:
- Major tautomer calculation at pH 7.4 throws exception for specific molecules
- pKa calculation in cxcalc throws exception for a specific molecule
3rd July 2017, Chemical Terms, 17.14.0¶
New features and improvements:
- maximalprojectionsize and minimalprojectionsize functions are introduced in the group of geometry functions
30th May 2017, Calculator Plugins, 17.10.0¶
Bugfixes:
- Atautomer pair has slightly different generic tautomers
- Predicted pKa value of sorbic acid is off in the new Chemicalize (requires fine-tuning)
3rd May 2017, Calculator Plugins, 17.7.0¶
Bugfixes:
- pKa values of the N1 atom of adenosine predicted with the new version of Chemicalize were quite off compared to the experimental results
New features and improvements:
- Only practically justified isoelectric points (when the input molecule has a certain pKa and charge distribution threshold) are returned to the output of the Isoelectric Point Plugin
10th April 2017, Calculator Plugins, 17.04.10.¶
Bugfixes:
- Molecules stored in SD and CXSMILES/CXSMARTS format have different generic tautomer forms
6th March 2017, Calculator Plugins, 17.03.06¶
New features and improvements:
- Putting the Resonance Plugin under the Isomers plugin group
27th February 2017, Calculator Plugins, 17.02.27¶
Bugfixes:
- Incorrect pKa and pH-dependent solubility predicted for the indigo (CAS 482-89-3) molecule
- Wrong output after filtering generated 3D stereoisomers in the StereoIsomer Plugin
- Input molecule (with the predicted properties) does not appear correctly in the output window of some protonation-type plugins (e.g. pKa, HBDA)
- Incorrect Elemental Analysis calculations results (e.g. mass, formula) for larger molecules with S-groups
- Alignment Plugin throws an exception when there are no input molecules on the canvas
20th February 2017, Calculator Plugins, 17.02.20¶
Bugfixes
- Incorrect tautomer distribution predicted for some thioamide compounds in the Tautomer Plugin
- Incorrect tautomer distribution predicted for some nitroparaffin compounds in the Tautomer Plugin
- Incorrect normal canonical tautomers calculated for some heterocyclic compounds in the Tautomer Plugin
- Input molecules don't appear in the result window of the NMR Predictor.The molecules only appeared after hitting the Update button of the viewer.
- Input molecule appears small and translated in the result window of the Solubility Predictor even after pressing the Update button of the viewer.
13th February 2017, Calculator Plugins, 17.02.13¶
New features and improvements:
- Charged and isotope atoms are recognized in formula during Elemental Analysis calculations (e.g. mass)
23rd January 2017, Chemical Terms, 17.01.23¶
New features and improvements:
- New Largest Conjugated System calculation functions are available in Chemical Terms
- New Chemical Terms demo site is available
16th January 2017, Calculator Plugins, 17.01.16¶
Bugfixes:
- Matching normal canonical forms of some molecules to the ones found in the literature
9th January 2017, Calculator Plugins, 17.01.09¶
Bugfixes:
- Incorrect van der Waals radius of the radon atom used for van der Waals volume calculation
2nd January 2017, Calculator Plugins, 17.01.02¶
Bugfixes:
- Generic tautomer form of some molecules change after CXSMILES export and import
26th December 2016, Calculator Plugins, 16.12.26¶
Bugfixes:
- Incorrect results with stereoisomer generation for some molecule
- Some modifications in the StereoisomerSettings API
19th December 2016, Calculator Plugins, 16.12.19¶
Bugfixes:
- Strange generic tautomer forms for some molecules
- Incorrect tautomer distributions for different tautomer forms of the same molecule
21st November 2016, Chemical Terms, 16.11.21¶
New features and improvements:
- Introducing name export options for the name() function
14th November 2016, Calculator Plugins, 16.11.14¶
Bugfixes:
- Incorrect pKa values are calculated for MINA and DAM (acetone derivative) compounds
- OutOfMemoryError was thrown during conformer generation
17th October 2016, Calculator Plugins, 16.10.17¶
Bugfixes:
- Solubility values for the same molecule represented by different SMILES codes were different
10th October 2016, Chemical Terms, 16.10.10¶
Bugfixes:
- Incorrect dominant tautomer forms are generated for some azide-type molecules using the dominantTautomer() function
3rd October 2016, Chemical Terms, 16.10.3¶
Bugfixes:
- Incorrect dominant tautomer forms are generated for some molecules containing Se using the dominantTautomer() function
5th September 2016, Calculator Plugins, 16.9.5¶
Bugfixes:
- Incorrect logP atomic increments are calculated by the getAtomlogPIncrement() function for some molecule
New features and improvements:
- Large molecules make the pH-dependent solubility calculation slow down. Calculation was speeded up.
29th August 2016, Chemical Terms, 16.8.29¶
Bugfixes:
- Incorrect dominant tautomer forms and distributions are generated using the dominantTautomer() function
29th August 2016, Calculator Plugins, 16.8.29¶
Bugfixes:
- Incorrect isotope handling during tautomerization: isotope atoms vanish in result tautomer forms
18th July 2016, Calculator Plugins, 16.7.18**¶
Bugfixes:
- Carbanions appear in the major microspecies form at pH 7.4 with some molecules in the Major Microspecies Plugin
4th July 2016, Calculator Plugins, 16.7.4¶
Bugfixes:
- Some molecules are not tautomerised correctly during standardization
13th June 2016, Calculator Plugins, 16.6.13¶
Bugfixes:
- Atomic charges don't add up to total charge in the Charge Plugin for some molecule
- Normal canonical tautomer generation throws Exception for some molecules during standardization
- Incorrect standardized form of cyanidine due to wrong tautomerization
10th May 2016, Calculator Plugins, 16.5.10¶
Bugfixes:
- The Elemental Analysis Plugin calculates basic properties for molecules with double variation bonds incorrectly
3rd May 2016, Calculator Plugins, 16.5.3¶
New features and improvements:
- Some properties and calculation options are removed from the Elemental Analysis Plugin and the plugin window is re-organized based on some user feedback
April 25th 2016, Calculator Plugins, 16.4.25¶
Bugfixes:
- Precision of calculations does not work as expected in the Analysis Box in MarvinSketch
April 18th 2016, Calculator Plugins, 16.4.18**¶
New features and improvements:
- Groups written in pseudo labels are recognized in Elemental Analysis calculations
March 16th 2016, Calculator Plugins, 16.5.16¶
Bugfixes:
- Incorrect tautomerization of some pyridine derivatives
February 22nd 2016, Calculator Plugins, 16.2.22¶
Bugfixes:
- Exception was thrown during generic tautomer calculation for a specific molecule.
January 18th 2016, Calculator Plugins, 16.1.18¶
Bugfixes:
- Incorrectly calculated pKa values for the molecule with CAS number 1224844-38-5
January 11th 2016, Calculator Plugins, 16.1.11¶
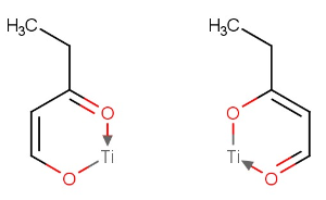
New features and improvements:
- New feature in the Tautomerization Plugin: canonical tautomerization of organic molecules containing metal atoms. See an example of tautomer pairs below:
January 11th 2016, Chemical Terms, 16.1.11¶
New features and improvements:
- Improving the following functions to be able to handle atom index arrays as input: formalCharge(), hCount(), connections(), valence(), radicalCount(), atno(), map().
Bugfixes:
- Improving the matchCount() function to handle molecules with query Hs
December 14th 2015, Calculator Plugins, 15.12.14¶
Bugfixes:
- Bugfix for the Tautomerization Plugin: the plugin gave back different canonical tautomers from what were expected for oxim-type molecules
- Bugfix for the NMR Plugin: calculating NMR spectra for highlighted molecules did not work.
November 9th, 2015, Calculator Plugins, 15.11.9¶
Bugfixes:
- Bugfix for the Refractivity Plugin: refractivity calculation failed for a molecule throwing exception, see the forum topic for details.
- Bugfix for the pKa Plugin: inconsistent calculated values for the same molecule represented with different atom order, see the forum topic for details.
- Bugfix for the 3D Alignment Plugin: molecule selecting function did not work properly during the alignment process, see the forum topic for details.
November 2nd, 2015, Calculator Plugins, 15.11.2¶
Bugfixes:
- Bugfixes for the Tautomerization Plugin: bugs in the dominant tautomer distribution calculation for molecules containing P, see the forum link for details.
- Bugfix for the Solubility Predictor: calculated solubility at pH 7.4 was not the same in cxcalc and MarvinSketch.
October 26th, 2015, Calculator Plugins, 15.10.26¶
Bugfixes:
- Bugfix for aromatization/de-aromatization: errors in conversion between aromatic and Kekulé forms.
October 12th, 2015, Chemical Terms, 15.10.12¶
Bugfixes:
- Bugfix for calculating chemical properties for agents in ReactionContext: evaluating Chemical Terms functions for reaction agents threw Exception.
October 5th, 2015, Calculator Plugins, 15.10.5¶
Bugfixes:
- Bugfix for the pKa calculation: improving calculated values in relation to the logD training. See the forum link for details.
- Bugfixes for the Tautomer Plugin: bugs in the dominant tautomer distribution calculation in cxcalc, see the forum link for details.
- Bugfix for the steric hindrance calculation in Metabolizer: slow-down of generation of 3D conformers for molecules with fused rings fixed, see the forum link for details.
September 14th, 2015, Calculator Plugins, 15.9.14¶
Bugfixes:
- Bugfix for the MCS-based Alignment method in the Alignment Plugin, see the forum link for details.
August 24th, 2015, Calculator Plugins, 15.8.24¶
Bugfixes:
- Bugfix for major microspecies calculation in cxcalc: fix for lost SD properties in the output.
- Bugfix for the logP/logD plugin: correct error message shown for cation/anion concentration setting
August 10th, 2015, Calculator Plugins, 15.8.10¶
Bugfixes:
- pKa calculation fixes for amide structures, see the forum link for details.
- Fix for solving the pKa calculation slow-down and JVM break.
August 3rd, 2015, Calculator Plugins, 15.8.3¶
New features and improvements:
- Calculating chemical properties for highlighted structures: it is possible to run the calculators for highlighted structures in MarvinSketch.
- Solubility results/plot is automatically updated when the molecule is modified on the canvas in MarvinSketch.
- New HLB node in KNIME is now available, see the KNIME release notes for details.
July 20th, 2015, Calculator Plugins, 15.7.20¶
Bugfixes:
- Bugfix for tautomerization: tautomer generation for molecules with explicit Hs wasn't working properly.
July 13th, 2015, Calculator Plugins, 15.7.13¶
Bugfixes:
- Bugfix for rendering acidic/basic pKa values in the pKa Plugin: red/blue representation wasn't working.
June 29th, 2015, Calculator Plugins, 15.6.29¶
Bugfixes:
- Bugfixes for tautomerization: various bugs in the tautomerization of the Standardizer KNIME node; tautomerization of indazole for its pKa calculation was incorrect.
- Bugfix for geometry optimization with MMFF94 forcefield in the Geometry Plugin
June 8th, 2015, Calculator Plugins, 15.6.8¶
Bugfixes:
- Bugfix for the Tautomer Plugin: tautomerization of 4-hydroxycoumarin wasn't correct.
June 1st, 2015, Calculator Plugins, 15.6.1¶
Bugfixes:
- Bugfix for the Tautomer Plugin: bad oxo-enol tautomerization of a molecule.
- Bugfix for the Tautomer Plugin: calculating dominant tautomer distribution in cxcalc didn't behave well for certain molecules.
May 18th, 2015, Calculator Plugins, 15.5.18¶
New features and improvements:
- Releasing the new HLB Predictor in MarvinSketch. See its documentation here.
Bugfixes:
- Bugfix for calculating pKa for carbanions. See the forum topic about the bug here.
April 27th, 2015, Calculator Plugins, 15.4.27¶
New features and improvements:
- Releasing the new HLB Predictor in cxcalc, in API and in Chemical Term. See its documentation here.
April 13th, 2015, Calculator Plugins, 15.4.13¶
New features and improvements:
- Improving and modifying the tautomerization options in the Tautomer Plugin. See its documentation for details.
- Improving and modifying the calculation methods of the logP Plugin. See its documentation for details.
- Improving and modifying the calculation methods of the logD Plugin. See its documentation for details.
March 23rd, 2015, Calculator Plugins, 15.3.23¶
Bugfixes:
- Bugfix for the Solubility Plugin: plugin freezes in Marvin for compounds with hashed bond.
March 16th, 2015, Calculator Plugins, 15.3.16¶
Bugfixes:
- Fixes for the pKa plugin.
March 9th, 2015, Calculator Plugins, 15.3.9¶
Bugfixes:
- Fixes for the generic tautomer generation method of the Tautomer Plugin
February 16th, 2015, Calculator Plugins, 15.2.16¶
Bugfixes:
- Fixes for the canonical tautomer generation method of the Tautomer Plugin
February 9th, 2015, Calculator Plugins, 15.2.9¶
Bugfixes:
- Fixes for the Tautomer Plugin
February 2nd, 2015, Calculator Plugins, 15.2.2¶
Bugfixes:
- Functionality fixes for the Elemental Analysis Plugin
- Fixes for cyano compounds in the pKa Plugin
January 19th, 2015, Calculator Plugins, 15.1.19¶
Bugfixes:
- Minor fixes for the pKa and the Tautomer Plugin
January 5th, 2015, Calculator Plugins, 15.1.5¶
New features and improvements:
- Stiochiometry in chemical formulae is shown in subscripts. Subscripts are now correctly displayed in the Elemental Analysis Plugin.
December 15th, 2014, Calculator Plugins, 14.12.15¶
Bugfixes:
- msdistr bugfix
- stereoisomer calculation bugfix
- Solubility Predictor: result view fix
December 8th, 2014, Calculator Plugins, 14.12.08¶
New features and improvements:
- Solubility node in KNIME is released
Bugfixes¶
- Canonical tautomer generation bugfix
November 24th, 2014, Chemical Terms, 14.11.24¶
Bugfixes:
- Mass calculation from formula
November 17th, 2014: Calculator Plugins, 14.11.17¶
Bugfixes:
- Valence fix for S2-
November 3rd, 2014: Calculator Plugins, 14.11.03¶
New features and improvements:
- ADME predictors have been removed.
Bugfixes:
- cxcalc minor issues fix
October 20th, 2014: Calculator Plugins, 14.10.20¶
Bugfixes:
- logP/logD calculation improvements
October 13th, 2014: Calculator Plugins 14.10.13¶
New features and improvements:
- Option for setting the logS measurement unit in the Solubility Predictor is introduced (unit could not be set in MarvinSketch)
September 22nd, 2014: Calculator Plugins 14.9.22¶
New features and improvements:
- Chemical Terms stereoAnalysis() function has been improved. See its documentation for details.
September 15th, 2014: Calculator Plugins 14.9.15¶
New features and improvements:
- New Solubility Predictor API has been released.
- Chemical Terms logS() function has been improved.
August 18th, 2014: Calculator Plugins 14.8.18¶
New features and improvements:
- New mass spectrum calculation is introduced in the Elemental Analysis Plugin.
- Grouped dot disconnected formula type is added to the Elemental Analysis Plugin.
August 11st, 2014: Calculator Plugins 14.8.11¶
Bugfixes:
- Bugs of the reactant() and the product() functions in Chemical Terms have been fixed.
- Option for setting the radius in the Geometry Plugin has been removed.