Aromatization of query structures¶
Structures with Query atoms¶
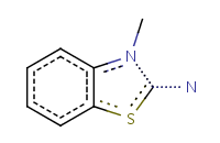
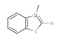
A query structure which defines one or more molecules with atom lists or query atoms in one query structure is converted to aromatic form if any of the defined structures can be aromatized. Link nodes, R-atoms and query bonds are not aromatized. If these features are used, the use of single/aromatic or double/aromatic bond types is recommended for each of the ring bonds in order to ensure matching to aromatic systems.
| Query structure | Aromatized |
|---|---|
![]() |
|
![]() |
|
![]() |
|
![]() |
|
![]() |
|
![]() |
|
![]() |
Structures with Query bonds¶
Structures with query bonds are aromatized only in General aromaticity detection mode.
Query structures with single_or_aromatic, double_or_aromatic or ANY bond are aromatized if the ring or ring system containing the query bond can be aromatized supposing the query bond as aromatic. In this case the single and double bonds are converted to single_or_aromatic and double_or_aromatic bonds respectively.
Structures with query bonds may contain atoms with improper valence due to mixed aromatic-Kekule representation. These structures are accepted and aromatized as they are just an incomplete representation of an otherwise aromatic ring.
| Query structure | Aromatized form |
|---|---|
![]() |
![]() |
![]() |
![]() |
![]() |
![]() |
![]() |
![]() |
Aromatization error detection¶
Possible aromatization errors may be detected with the use of Structure Checker. Guide to Aromaticity Error Checker.














