Markush Enumeration CT¶
The Markush functions of the Chemical Terms language operate with Markush structures that cover a set of compounds with similar chemcal structures.
Example¶
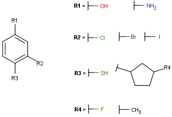
We examine the displayed Markush structure:
The general scaffold contains three R groups, but there is also an embedded R group assigned to this structure marked as R4.
The number of possible structures can easily be given with Chemical Terms:
According to this function, the number of possible compounds covered by this Markush representation is 18 .
Using Markush functions, the whole compound set can be enumerated or emphasis can be put on a subset of molecules. Here, we generate three random molecules from the example Markush structure.
These three molecules were enumerated as a result:



