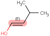
EZ Double Bond¶
- Checker searches for marked E or Z double bond configuraion.
- Fixer: no fixer is available for this checker.
Example :
E/Z Double Bond checker (ezdoublebond) |
Warning: | Fix |
|---|---|---|
| Detect E/Z Double Bond | ex_ezdb_ch |
|
| Detect E/Z Double Bond | ex_ezdb_ch |

