Wedge Error¶
Deprecated
Wedge Error Checker has been split into three separate checkers: Incorrect Tetrahedral Stereo; Non-standard Wedge Scheme, or Non-stereo Wedge Bondchecker.
- Checker searches for irregular wedge bonds.
- Fixer arranges stereo wedge bonds according to IUPAC recommendations. (
wedgeclean).
Example :
Wedge Error Checker (wedgeerror) |
Warning: | Fix |
|---|---|---|
Clean Wedge (wedgeclean) |
||
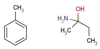
| Detect irregular wedge bond | ex_wedge_ch |
ex_wedge_f |
| Ambigous wedge configuration | ![]() |
![]() |
Note : Some symmetric structures are not recognized by the checker.



