Differences between the Basic and General aromatization methods¶
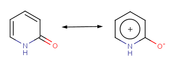
The two method approach the question differently. The general method tries to incorporate mesomeric, tautomeric rearrangement, as in 2-pyridone, while the basic method does not. In the basic method the external double bond breaks the formation of aromatic ring.
The 2-pirydone is aromatic due to its mesomeric rearrangement:
The following molecules will give different results depending upon the method applied.



