Structure Transformation¶
The C:\Program Files\Chemaxon\JChem for Excel\Resources\Images folder contains the following images which can be used as icons for these functions:
AromatizeStructureAction.png
DearomatizeStructureAction.png
TwoDCleanStructureAction.png
ThreeDCleanStructureAction.png
HydrogenizeToStructureAction.png
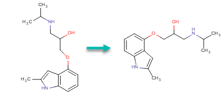
AromatizeStructureAction¶
Transforms the molecule to the aromatic representation by using the basic transformation method set.
Aromatize
For more information, see Aromatization.
The AromatizeStructureAction is not available in the JChem for Excel ribbon/context menu/menu/toolbar by default, but it is possible to make it available by customizing the ribbon/context menu/menu/toolbar.
DearomatizeStructureAction¶
Transforms the molecule to the non-aromatic representation.
Dearomatize
The DearomatizeStructureAction is not available in the JChem for Excel ribbon/context menu/menu/toolbar by default, but it is possible to make it available by customizing the ribbon/context menu/menu/toolbar.
TwoDCleanStructureAction¶
Calculates new 2D coordinates for the molecule.
2DClean_Structure
The TwoDCleanStructureAction is not available in the JChem for Excel ribbon/context menu/menu/toolbar by default, but it is possible to make it available by customizing the ribbon/context menu/menu/toolbar.
ThreeDCleanStructureAction¶
Calculates new 3D coordinates for the molecule. Clean3D builds up conformers of fragments from which the best, that is, the lowest energy conformer is given back. The quality of the structures is measured by a simple energy function (Dreiding-type molecular mechanics).
3DClean_Structure
The ThreeDCleanStructureAction is not available in the JChem for Excel ribbon/context menu/menu/toolbar by default, but it is possible to make it available by customizing the ribbon/context menu/menu/toolbar.
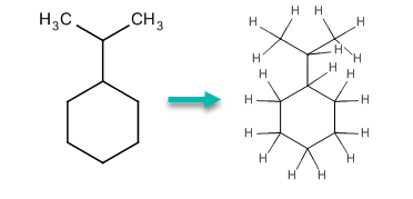
HydrogenizeToStructureAction¶
Adds explicit H atoms instead of the current implicit ones. Explicit hydrogens are displayed with atoms joining their neighbor while implicit hydrogens are displayed by atom symbols only.
Hydrogenize_Structure
The HydrogenizeToStructureAction is not available in the JChem for Excel ribbon/context menu/menu/toolbar by default, but it is possible to make it available by customizing the ribbon/context menu/menu/toolbar.
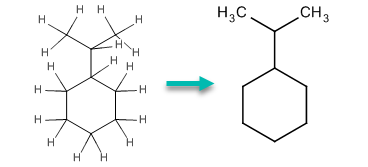
DehydrogenizeStructureAction¶
Removes explicit H atoms and increases the number of implicit hydrogens.
Dehydrogenize_Structure
The DehydrogenizeStructureAction is not available in the JChem for Excel ribbon/context menu/menu/toolbar by default, but it is possible to make it available by customizing the ribbon/context menu/menu/toolbar.










